img_5a077afc5e264
Related Posts
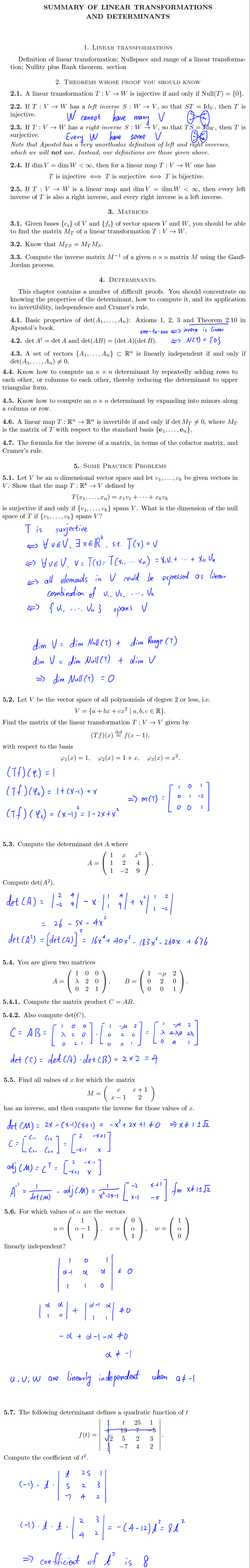
Math 514
- September 18, 2018
- Shawn
Math 632
- September 18, 2018
- Shawn
Math 240
- January 30, 2018
- Shawn
Math 521
- January 30, 2018
- Shawn
Math 541
- January 30, 2018
- Shawn
Math 375
- October 26, 2017
- Shawn
线性代数 Linear Algebra
- August 7, 2017
- Shawn
抽象代数 Abstract Algebra
- January 2, 2018
- Shawn
CS/ECE 252
- January 20, 2018
- Shawn
CS/ECE 352
- April 15, 2018
- Shawn
JsSpim
- May 30, 2019
- Shawn
xv6 File System Visualizer
- May 24, 2019
- Shawn
Search
WeChat Account

TOP